Recent

Modelo de artigo para a revista Physicae Organum, da Universidade de Brasília (UnB). Template of article for the Physicae Organum journal, of the University of Brasilia. Criadores originais deste modelo (2019): Leonardo Luiz e Castro, Olavo Leopoldino da Silva Filho, Fábio Luís de Oliveira Paula, Marcello Ferreira.

A&A LaTeX macro package v9.3 downloaded from https://www.aanda.org/for-authors 9.3 October 2025 - Behaviour of the [longauth] command is modified to shift the whole author list and affiliations after references.

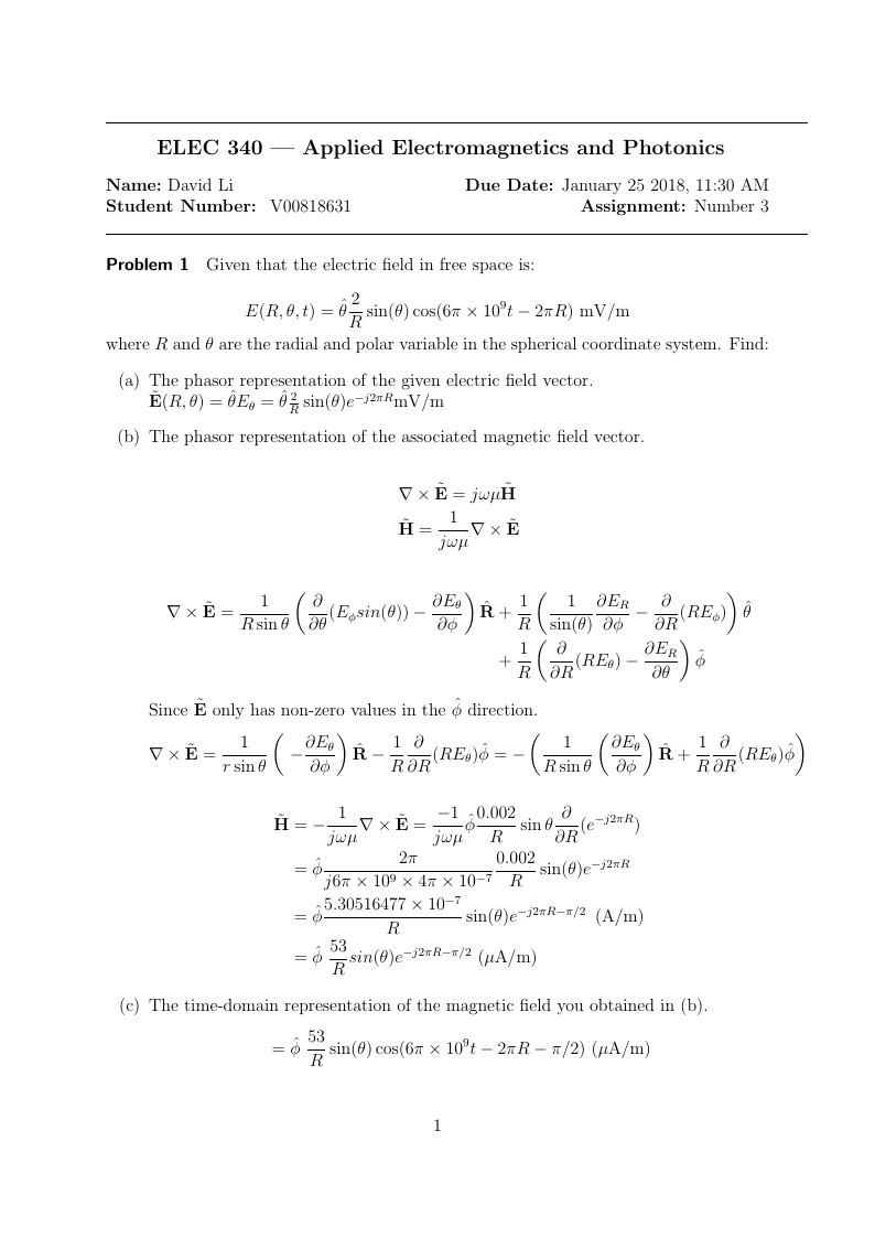
A light template for my electromagnetic class at the University of Victoria

This is an example of using geopreport.cls for writing Geophysics reports.

Template for American Physical Society (APS) and American Institute of Physics (AIP) journals, including Physical Review Letters, Physical Review A-E, Physical Review X, Reviews of Modern Physics, Applied Phyiscs Letters, using the ReVTeX 4.2 document class.

This is a template for PHYS216 lab reports

Basic layout for lab reports for Electromagnetism and Optics

This is the template used in Physics 211 (calculus-based mechanics) as taught at Cortland High School in Cortland, NY. The abstract should be a short 3-5 sentence paragraph. In it, you should state the hypothesis, what you did, and what you found. The abstract is meant to be a very short summary of your paper to follow. It is a good suggestion to write the abstract last in your report after you have written everything else. This will allow you to best summarize your work.

This is an example of using geophysics.cls for writing Geophysics papers, with endfloat and subfigure.
\begin
Discover why over 20 million people worldwide trust Overleaf with their work.